Інформація
Приклади розвʼязків на різних мовах програмування
Як отримати кольорове ім'я користувача?
Для цього треба взяти участь у турнірі, який має значок -
Кольори відповідають таким рейтингам:
| Отримані бали | Звання |
|---|---|
| <1200 | Новачок |
| 1200-1399 | Учень |
| 1400-1599 | Спеціаліст |
| 1600-1899 | Експерт |
| 1900-2199 | Кондидат у майстри |
| 2200-2299 | Майстер |
| 2300-2399 | Міжнародний майстер |
| 2400-2599 | Гросмейстер |
| 2600-2899 | Міжнародний гросмейстер |
| ≥2900 | Легендарний гросмейстер |
Як нараховуються бали?
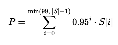
Система нарахування балів бере зважену суму 100 найкращих результатів розвʼязків різних задач. Оцінка i-ї задачі має вагу 0,9^i. Формально, де S представляє відсортовані бали, а P базові бали користувача, бали нараховуються за формулою 1
Щоб не штрафувати користувачів, які витратили багато часу на розвʼязування легких задач, до базового значення балів додається коригування B. Тут N – кількість задач, які отримали вердикт системи AC (розвʼязано вірно)